БАД «Anti AGE-Biom» — пробиотик, способствует восстановлению нормальной микрофлоры и регуляции обменных процессов в организме. В его состав входят штаммы бактерий Lactococcus Lactis KF-140, Lactobacillus casei LC-11, Lactobacillus acidophilus LA-14, Bifidum longum, что обусловливает его свойства снижать уровень AGEs в крови, ограничивать рост условно-патогенной флоры кишечнике, оказывать иммуномодулирующее действие на организм, повышать усвоение витаминов и микроэлементов.
Конечные продукты гликирования (КПГ) (в английской транскрипции AGEs — Advanced glycation end-products) — вещества, образующиеся в результате реакции Майяра.
Существует 2 пути накопления AGE в организме:
- Поступление с пищей (некоторые твердые сорта сыра, жареные, запеченные блюда с «румяной» корочкой, фаст-фуд и др.);
- Избыточное образование в организме в результате употребления большого количества продуктов с высоким гликемическим индексом (легкоусвояемые углеводы), при патологических состояниях, связанных с повышенным уровнем глюкозы в крови (сахарный диабет, метаболический синдром). Так же неблагоприятными факторами являются вредные привычки, нарушение ритма сна и бодрствования, хронический психоэмоциональный стресс.
Упрощенно патологические эффекты, связанные с присутствием AGEs в организме, объясняются связыванием AGEs со специальным рецептором (RAGE), присутствующим на многих видах клеток — это эндотелий сосудов, гладкомышечная мускулатура (представлена во всех внутренних органах, сосудах), нейроны (нервная система), иммунные клетки (фагоциты), клетки кожи. Именно этим объясняется обширность и разнообразие поражения органов при хроническом повышении конечных продуктов гликирования в организме.
По результатам исследований последних десятилетий выявлена немалая роль AGEs в развитии, течении и тяжести осложнений таких заболеваний, как сахарный диабет, атеросклеротическое поражение сосудов, заболевания сердечно-сосудистой системы, неврологическая патология, болезнь Альцгеймера, заболевания иммунной системы. Кроме того, повышенный уровень AGEs в крови является биомаркером преждевременного старения организма.
Несмотря на многолетнее изучение отрицательного действия процессов гликирования на организм, до сих пор не было доказано наличие эффективных средств для снижения уровня AGEs.
В Научно-исследовательском институте питания Республики Корея (г. Сеул) были изучены более 700 типов молочнокислых бактерий с пробиотическими свойствами, с обнаружением эффективности при разложении AGE-продуктов. Идентификация и анализ штаммов проведены методом ДНК-секвенирования. Штамм KF-140 Lactococcus lactis запатентован и изучен, доказана его эффективность и безопасность. В двойном слепом рандомизированном клиническом исследовании на добровольцах было обнаружено, что штамм KF-140 достоверно снижает уровень AGEs (карбоксиметиллизин на 90% и гликированный гемоглобин на 8%).
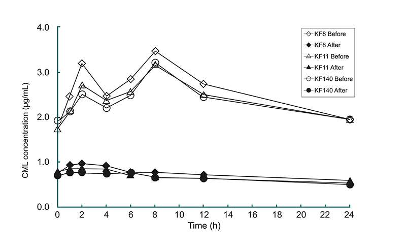
Двойной слепой рандомизированный исследовательский тест на применение на людях (добровольцы) для оценки воздействия трех типов пробиотиков на CML в крови и микрофлоре кишечника при употреблении сыра.
Цель исследования: Сравнение влияния трех типов пробиотических продуктов на изменения концентрации CML в крови и микрофлоры кишечника при употреблении сыра и проведение анализа корреляции между содержанием AGE и содержанием CML в образцах крови путем измерения флуоресценции в коже.
В исследовании приняли участие 31 здоровый доброволец в возрасте от 25 до 45 лет. Дизайн исследования подразумевал разделение испытуемых на 3 группы. Группа A принимала пробиотик KF-8, группа B – KF-11, группа C – KF-140. Препарат предлагалось принимать утром натощак 1 раз в сутки в течение 26 дней.

| Classification | Average | Standard deviation | F-value | Pr > |f| | Pr > χ2 | |
|---|---|---|---|---|---|---|
| Age | KF8 | 33.00 | 6.39 | 0.12 | 0.8882 | 0.9198 |
| KF11 | 33.18 | 7.51 | ||||
| KF140 | 31.90 | 5.0 | ||||
Результаты исследования: измерение концентрации CML, AGE в крови, показало снижение после приема продукта во всех точках в трех тестовых группах.


Продемонстрировано снижение показателя площади под кривой более 90% после приема штамма Lactococcus lactis KF-140 (Рис.3).
Измерение концентрации гликированного гемоглобина в венозной крови показало снижение уровня HbA1c в группе приема штамма Lactococcus lactis KF-140 (Рис.4).


Показано достоверное (Р<0,01) снижение уровня ЛПНП у испытуемых в группе Lactococcus lactis KF-140 на 28 день от начала приема штамма.


Штамм Lactococcus lactis KF-140 снижал уровни трансаминаз, AЛT снижение достоверное на 45%.
В результате подтверждения кишечной фиксации тестового штамма, полученного на основе исследования 64 образцов фекалий, было показано, что штамм KF140 был хорошо установлен, как имеющий увеличение присутствия в фекалиях. Так же увеличилось разнообразие кишечного микробного состава.

Таким образом в результате исследования подтверждена эффективность штамма KF-140 по снижению уровня конечных продуктов гликирования в крови, доказано оздоравливающее действие на микробиом кишечника.
Пробиотик «Anti AGE-Biom» благодаря уникальному составу имеет свойства
- Эффективное доказанное снижение AGE Lactococus Lactis (штамм KF-140);
- Укрепление желудочно-кишечной функции и иммунитета
- Lactococus Lactis (штамм KF-140)
- Bifidum longum
- Lactobacillus acidophilus
- Lactobacillus casei
- Обеспечение продуктами питания пробиотических микроорганизмов и ускорение пробиотической активности
- Фруктоолигосахариды (FOS)
- Галактоолигосахариды (GOS)
- Улучшение обмена веществ в организме человека и нормализация работы иммунной и нервной систем
- Витамин В6
- Витамин В1
- Улучшение регенерации кожи, роста волос и ногтей, стимуляция иммунной системы
- Цинк
Литература
- Park Ho Young, Kim Yoon Sook, Lee Sang Hoon, Ha Sang Keun, Lee So Young, Oh Mi Jin. Novel Lactococcus lactis strain having advanced glycation end products inhibitory activity effects and use of the same. Patent Registration No. 1018410210000, Registration Date 2018.03.16; Application No. 1020170044938; Applicant & Rightholder: Korea Food Research Institute.
- Park Dong-jun, Kim Kyung-soon et al. A double-blind, randomized, exploratory human application test for evaluation of the effects of three types of probiotics on CML in the blood and intestinal microflora through ingestion of cheese. Research Result Report. Korea Food Research Institute. 2019. 155р.
